How can we use bioluminescence to probe biological processes?

 what we do_miller.png

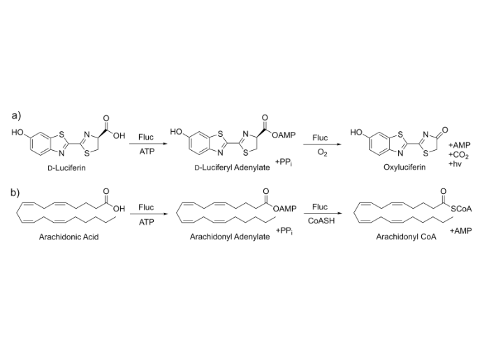
  Work in our lab ranges from curiosity-driven basic science questions to the directed development and optimization of luciferases and luciferins for bioluminescence imaging in mice using adeno-associated virus (AAV) to deliver designer luciferase-based reporters to specific tissues.  

 why we do it_miller.png

Need sentence decribing why you do it

 how we do it_miller.png

  Our multi-disciplinary approach brings together the areas of synthetic organic chemistry, molecular biology, biochemistry, and cell biology, with translation into mouse models of disease.

 Who We Are_generic.png

We are a small and dedicated group of researchers who enjoy pursuing curiosity-based and application-driven projects.

 


Research Highlights

Silicon functionalization expands the repertoire of Si-rhodamine fluorescent probes. 
Rao DN, Ji X, Miller SC. 

Chem Sci. 2022 May 2;13(20):6081-6088. doi: 10.1039/d2sc01821g. PMID: 35685786; PMCID: PMC9132037.


Bioluminescence imaging in mice with synthetic luciferin analogues.
Ji X, Adams ST Jr, Miller SC. 

Methods Enzymol. 2020;640:165-183. doi: 10.1016/bs.mie.2020.04.033. Epub 2020 May 31. PMID: 32560797; PMCID: PMC8345814.


Adams ST Jr, Miller SC.
 
FEBS J. 2020 Apr;287(7):1369-1380. doi: 10.1111/febs.15176. Epub 2019 Dec 27. PMID: 31828943; PMCID: PMC7217382.

Latest News

BMB Blog

  • rna day social.png

    Celebrating RNA Day with Dr. Thoru Pederson

    Join us (the BMB) in celebrating RNA Day by learning more about the innovative bioengineering by the Pederson Lab.

    Read more

Latest BMB news as reported by the UMass Chan Communications Office

Page Menu